行业新闻
您当前的位置:首页-行业新闻
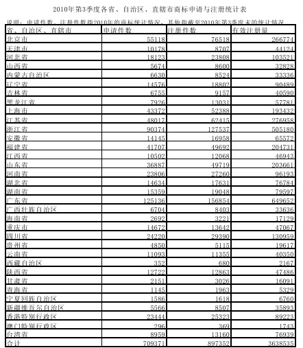
商标局向社会公布2010年第3季度全国商标注册申请量
文章来源:中国商标网上注册中心 点击数:2811 更新时间:2010-11-03
商标局向社会公布2010年第3季度全国商标注册申请量
为了方便各级工商行政管理部门掌握辖区内的商标注册情况,充分发挥商标注册信息的作用,全面推进商标战略的实施,经总局领导批准,商标局将按季度定期发布全国省、市、县三级行政区域的商标申请、注册情况的主要统计数据。下图是2010年3季度全国商标注册申请量的统计表:














